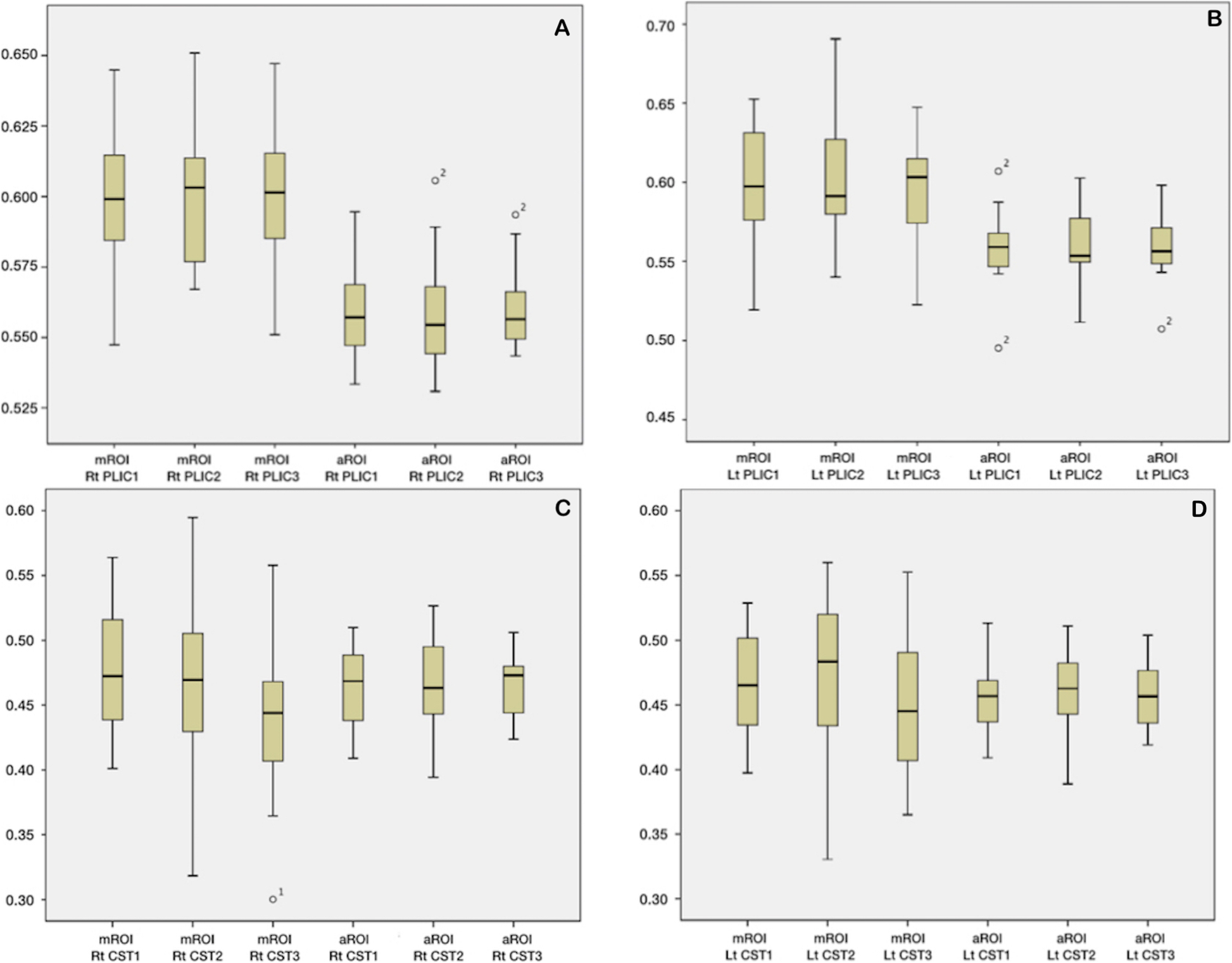
Fig. 4

The FA mean and median differences for each ROI in every time-point using both ROI methods. a Automated ROI (aROI) in the posterior limb of the right internal capsule (PLIC) show lower FA values than manual ROI (mROI). b aROI in the posterior limb of left internal capsule (PLIC) show lower FA values than mROI. c Both ROI methods in CST in the right pons show similar results d Both ROI methods in CST in the left pons show similar results